您当前的位置:首页 / 91视频免费看黄色中心 / 行业动态 / 气动91视频网页版的工作原理及计算选型
气动91视频网页版的工作原理
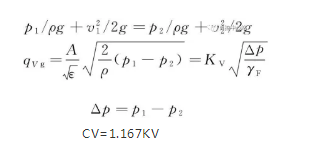
91视频网页版同孔板一样,是局部阻力元件。与孔板不同的是,91视频网页版的节流面积可以由阀芯的移动来改变,是可变的节流元件。因此,可以将91视频网页版模拟成孔板节流形式。对于不可压缩流体,根据伯努利方程,91视频网页版的流量方程式为

式中,v1,v2——节流前后流体速度;p1,p2——节流前后流体压力;A——节流管件截面积;qVg——体积流量;ε——阻力系数;g——重力加速度;ρ——流体密度;γF——重度;KV,CV——流量系数,国内一般用KV表示,国际上用CV表示。
91视频网页版由执行机构和阀门两部分组成,本文以气动91视频网页版为例,按其执机构形式可分为薄膜式91视频网页版、活塞式91视频网页版和长行程91视频网页版;按阀体结构形式可分为单座阀、双座阀、角阀、三通阀、偏心旋转阀、蝶阀、球阀、快速91视频下载黄片等。
2 气动91视频网页版的计算选型
2.1 初选阀型
阀型选择重要且复杂,初选阀型主要包括计算流量系数、预估噪声等,初步选择阀体结构型式。若计算不符合要求,还应重新选阀型,并重复计算,直到满足要求。
2.1.1 确定工艺条件
91视频网页版的选型首先要确定使用条件,包括介质性质及主要物化参数,流量、压力、温度等工艺参数,配管情况(型式、阀前后管径、系统阻力计算等),自控对象类型及特点,调节性能要求等,初选阀型的特点及适用场合可参考表1所列内容。
初选阀型的特点及适用场合
单座阀(VP,JP):泄漏量小,允许压差小,JP型阀具有体积小、质量轻等特点。适用于一般流体,要求泄漏量小或切断场合;
双座阀(VN):不平衡力小,允许压差较单座阀大;流路复杂,流量系数比VP型阀大;泄漏量大;适用于压差较大,对泄漏量要求不严的一般流体;
套筒阀(VM,JM):稳定性好,允许压差较大,易维护;适用于一般流体;
角形阀(VS):流路简单,便于自净和清洗;适用于高黏度、含颗粒等的介质,特别适用于要求直角连接场合偏心旋转阀;
偏心旋转阀(VZ)体积小、质量轻、密封性强;适用于泄漏量小,允许压差较大场合;
蝶阀(vw):结构紧凑、质量轻、流量系数大、价格低;适用于大流量、低压力、泄漏量要求不高的场合,尤其适用于浓浊浆状及含悬浮颗粒的流体控制;
球阀(VP,JP)结构紧凑、质量轻、流量系数大、密封性好;适用于要求切断及纸浆、污水和含有纤维质、颗粒物等介质控制。
2.1.2 91视频网页版阀型初选
根据2.1.1条中选定的阀型,确定91视频网页版流向及流量特性,见表2所列,查询产品说明书或有关资料,查取所需的管径、压力等级等参数及阀特性参数,如液体压力恢复系数FL,压差比系数XT等。不同厂家对91视频网页版FL,XT的取值略有差别,可参考《91视频网页版口径计算指南》[1]和厂家样本确定的FL和XT取值。
相关产品
相关91视频免费看黄色
气动91视频网页版:锅炉快速燃烧的推动者2025-06-03
气动91视频网页版是锅炉快速燃烧的推动者。它通过准确调节燃气和空气的比例,有效提高了锅炉的热效率,降低了能源…
气动91视频网页版:地源热泵系统的能效优化器2025-05-19
气动91视频网页版:地源热泵系统的能效优化器
气动91视频网页版:室内空气清新的守护者2025-05-05
气动91视频网页版是室内空气清新的守护者。它通过准确控制通风系统的排风量,有效排出了室内的污浊空气,在维持良…
气动91视频网页版:污水处理曝气系统的氧平衡调节者2025-04-21
气动91视频网页版是污水处理曝气系统的氧平衡调节者。它通过准确调节空气流量,为微生物提供了适宜的溶解氧环境,…
气动91视频网页版:污水处理加药系统的准确操控者2025-04-10
气动91视频网页版是污水处理加药系统的准确操控者。它通过准确控制药剂添加量,有效提高了污水处理效果,在污水处…
气动91视频网页版:废气处理的达标保障者2025-04-01
气动91视频网页版是废气处理的达标保障者。它通过准确调节废气和处理药剂的混合比例,有效确保了废气达标排放,在…
91视频黄下载91视频网页版厂家推荐选用气动91视频网页版, 电动91视频网页版, 自力式压力91视频网页版, 91视频下载黄片等自控阀门用于行业控制系统